| 일 | 월 | 화 | 수 | 목 | 금 | 토 |
|---|---|---|---|---|---|---|
| 1 | 2 | 3 | 4 | |||
| 5 | 6 | 7 | 8 | 9 | 10 | 11 |
| 12 | 13 | 14 | 15 | 16 | 17 | 18 |
| 19 | 20 | 21 | 22 | 23 | 24 | 25 |
| 26 | 27 | 28 | 29 | 30 | 31 |
- SQLite와 Realm 차이점
- 깊이우선탐색
- 컬렉션
- DFS
- 안드로이드 DBMS
- android support
- 안드로이드 파일
- android fragment
- 알고리즘
- 소수 알고리즘
- application not responding
- BFS
- 백준
- oracle
- 자료구조
- anr
- support 라이브러리
- 자바 컬렉션
- 소수
- 안드로이드 ANR
- android adapterview
- 안드로이드
- 너비우선탐색
- 액티비티 ANR
- 안드로이드 AdapterView
- java
- Github
- 백준 알고리즘
- support fragment
- db
- Today
- Total
밍의 기록들😉
합병 정렬 개념배열을 절반으로 나누어 각각을 정렬한 후, 합친다. 합병 정렬의 시간복잡도재귀적으로 구해야 한다.1. 왼쪽 합병정렬 = T(n/2)2. 오른쪽 합병정렬 = T(n/2)3. 합친다 = O(n) * T(n) = n개의 숫자를 합병정렬할 때의 시간복잡도* T(n) = 2 x T(n/2) + O(n) // 점화식 = 2(2T(n/4) + O(n/2)) + O(n) = 4T(n/4) + 2O(n) // 1번 대입 = 4(2T(n/8) + O(n/4)) + 2O(n) = 8T(n/8) + 3O(n) // 2번 대입 ...... // k번 대입 k+1 = log n = n x T(1) + log n x O(n) = n x O(1) + O(n log n) = O(n) + O(n log n) * 합병 정렬..
선택 정렬 구현 코드import java.util.Scanner; public class SortSelection { // 선택 정렬 public static void main(String[] args) { Scanner sc = new Scanner(System.in); int n = sc.nextInt(); int[] data = new int [100]; for(int i=0; i
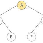
트리의 순회(Tree Traversal)트리의 모든 노드를 방문하는 순서트리 내에 어떠한 자료가 담겨있는지를 알기 위함그래프의 경우 DFS와 BFS가 있음트리에서도 위의 두 방법을 사용가능 하지만, 트리에서만 사용할 수 있는 방법이 3가지 있음1) 프리오더 = 전위 순회2) 인오더 = 중위 순회3) 포스트오더 = 후위 순회세 방법의 차이는 노드 방문을 언제 하냐의 차이임 전위 순회, 프리오더(Pre-order)Root - L - R노드 방문 - 왼쪽 서브 트리 순회 - 오른쪽 서브 트리 순회순서 : A-B-D-E-C-F-G그래프의 DFS의 순서와 같음노드 방문 왼쪽 서브 트리 순회 오른쪽 서브 트리 순회 중위 순회, 인오더(In-order)L - Root - R왼쪽 서브 트리 순회 - 노드 방문 - 오른..